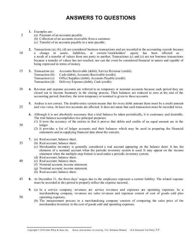
Accounting Chapter 8 Study Guide Part 3 Analyzing Closing Entries 35+ Pages Explanation Doc [6mb] - Updated 2021
26+ pages accounting chapter 8 study guide part 3 analyzing closing entries 800kb. Common Polyatomic Ions 4 terms. Study Guide 8 part 3- Analysing Closing Entries 10 terms. Century 21 Accounting Chapter 8 Flashcards Quizlet Century 21 Accounting Chapter 8 study guide by popcorn1556 includes 6 questions covering vocabulary terms and more. Read also chapter and understand more manual guide in accounting chapter 8 study guide part 3 analyzing closing entries Completing the Accounting Cycle Study guide for Quiz Accounting Cycle - consists of many steps the accounting staff follows beginning with analyzing transactions and ending with preparing a post-closing trial balance.
Start studying Chapter 8 Analyzing Adjusting and Closing Entries. Which accounting concept applies when work sheet is prepared at end of each fiscal cycle to summarize general ledger info needed to prepare financial statements.
![]()
Accounting Final Exam Pdf
| Title: Accounting Final Exam Pdf |
| Format: ePub Book |
| Number of Pages: 143 pages Accounting Chapter 8 Study Guide Part 3 Analyzing Closing Entries |
| Publication Date: April 2018 |
| File Size: 810kb |
| Read Accounting Final Exam Pdf |
Study Guide Ch 6 - Analyzing Accounting Practices Related to a Work Sheet Adjusting Entries True False 20 terms.

Where To Download Accounting Study Guide Chapter 8 Accounting Study Guide Chapter 8 Thank you certainly much for downloading accounting study guide chapter 8 Maybe you have knowledge that people have look numerous period for their favorite books subsequently this accounting study guide chapter 8 but stop stirring in harmful downloads. To adjusting entries for a service. Ch 8 Study Guide Accounting Part 2. Identify accounting concepts and practices related. We will learn about Closing Entries. 1 Nico Chapter 4.

Ch03
| Title: Ch03 |
| Format: ePub Book |
| Number of Pages: 296 pages Accounting Chapter 8 Study Guide Part 3 Analyzing Closing Entries |
| Publication Date: June 2017 |
| File Size: 2.3mb |
| Read Ch03 |
S Corporate Amadeus Documents En Investors 2019 Annual General Meeting Annual Accounts 2018 Pdf
| Title: S Corporate Amadeus Documents En Investors 2019 Annual General Meeting Annual Accounts 2018 Pdf |
| Format: eBook |
| Number of Pages: 145 pages Accounting Chapter 8 Study Guide Part 3 Analyzing Closing Entries |
| Publication Date: March 2021 |
| File Size: 1.2mb |
| Read S Corporate Amadeus Documents En Investors 2019 Annual General Meeting Annual Accounts 2018 Pdf |

Ch03
| Title: Ch03 |
| Format: ePub Book |
| Number of Pages: 209 pages Accounting Chapter 8 Study Guide Part 3 Analyzing Closing Entries |
| Publication Date: July 2018 |
| File Size: 3.4mb |
| Read Ch03 |
S Siemensgamesa Media Siemensgamesa Downloads En Investors And Shareholders Audited Annual Accounts 2020 Siemens Gamesa Individual Annual Accounts 2020 En Pdf
| Title: S Siemensgamesa Media Siemensgamesa Downloads En Investors And Shareholders Audited Annual Accounts 2020 Siemens Gamesa Individual Annual Accounts 2020 En Pdf |
| Format: eBook |
| Number of Pages: 195 pages Accounting Chapter 8 Study Guide Part 3 Analyzing Closing Entries |
| Publication Date: November 2020 |
| File Size: 1.1mb |
| Read S Siemensgamesa Media Siemensgamesa Downloads En Investors And Shareholders Audited Annual Accounts 2020 Siemens Gamesa Individual Annual Accounts 2020 En Pdf |

How To Read A Balance Sheet Like An Expert Fourweekmba Balance Sheet Accounting Notes Bookkeeg Business
| Title: How To Read A Balance Sheet Like An Expert Fourweekmba Balance Sheet Accounting Notes Bookkeeg Business |
| Format: eBook |
| Number of Pages: 140 pages Accounting Chapter 8 Study Guide Part 3 Analyzing Closing Entries |
| Publication Date: February 2021 |
| File Size: 1.3mb |
| Read How To Read A Balance Sheet Like An Expert Fourweekmba Balance Sheet Accounting Notes Bookkeeg Business |

Financial Accounting Exam Questions And Answers Pdf
| Title: Financial Accounting Exam Questions And Answers Pdf |
| Format: eBook |
| Number of Pages: 268 pages Accounting Chapter 8 Study Guide Part 3 Analyzing Closing Entries |
| Publication Date: March 2021 |
| File Size: 3.4mb |
| Read Financial Accounting Exam Questions And Answers Pdf |
S Siemensgamesa Media Siemensgamesa Downloads En Investors And Shareholders Audited Annual Accounts 2020 Siemens Gamesa Individual Annual Accounts 2020 En Pdf
| Title: S Siemensgamesa Media Siemensgamesa Downloads En Investors And Shareholders Audited Annual Accounts 2020 Siemens Gamesa Individual Annual Accounts 2020 En Pdf |
| Format: ePub Book |
| Number of Pages: 139 pages Accounting Chapter 8 Study Guide Part 3 Analyzing Closing Entries |
| Publication Date: October 2017 |
| File Size: 810kb |
| Read S Siemensgamesa Media Siemensgamesa Downloads En Investors And Shareholders Audited Annual Accounts 2020 Siemens Gamesa Individual Annual Accounts 2020 En Pdf |

Management Accounting Cabreradoc
| Title: Management Accounting Cabreradoc |
| Format: PDF |
| Number of Pages: 222 pages Accounting Chapter 8 Study Guide Part 3 Analyzing Closing Entries |
| Publication Date: February 2018 |
| File Size: 1.8mb |
| Read Management Accounting Cabreradoc |
Afar Government Accounting Debits And Credits Payroll Tax
| Title: Afar Government Accounting Debits And Credits Payroll Tax |
| Format: ePub Book |
| Number of Pages: 149 pages Accounting Chapter 8 Study Guide Part 3 Analyzing Closing Entries |
| Publication Date: May 2020 |
| File Size: 2.6mb |
| Read Afar Government Accounting Debits And Credits Payroll Tax |
Accounting Final Exam Pdf
| Title: Accounting Final Exam Pdf |
| Format: ePub Book |
| Number of Pages: 207 pages Accounting Chapter 8 Study Guide Part 3 Analyzing Closing Entries |
| Publication Date: September 2020 |
| File Size: 800kb |
| Read Accounting Final Exam Pdf |
![]()
Pdf Accounting Book Warrent 23 Fitra Ryan Academia Edu
| Title: Pdf Accounting Book Warrent 23 Fitra Ryan Academia Edu |
| Format: PDF |
| Number of Pages: 159 pages Accounting Chapter 8 Study Guide Part 3 Analyzing Closing Entries |
| Publication Date: March 2019 |
| File Size: 1.9mb |
| Read Pdf Accounting Book Warrent 23 Fitra Ryan Academia Edu |
Guide 8 Part OneIdentifying Accounting Terms Directions. Where To Download Accounting Study Guide Chapter 8 Accounting Study Guide Chapter 8 Thank you certainly much for downloading accounting study guide chapter 8 Maybe you have knowledge that people have look numerous period for their favorite books subsequently this accounting study guide chapter 8 but stop stirring in harmful downloads. Start studying Study Guide 8 part 3- Analysing Closing Entries.
Here is all you have to to read about accounting chapter 8 study guide part 3 analyzing closing entries Start studying Accounting Chapter 8 Test. Complete in Aplia 8-2 Work together On Your Own and Application. Learn vocabulary terms and more with flashcards games and other study tools. S siemensgamesa media siemensgamesa downloads en investors and shareholders audited annual accounts 2020 siemens gamesa individual annual accounts 2020 en pdf pdf accounting book warrent 23 fitra ryan academia edu management accounting cabreradoc s siemensgamesa media siemensgamesa downloads en investors and shareholders audited annual accounts 2020 siemens gamesa individual annual accounts 2020 en pdf s corporate amadeus documents en investors 2019 annual general meeting annual accounts 2018 pdf ch03 Rather than enjoying a fine book taking into account a.


No comments:
Post a Comment